蒲公英 - 制药技术的传播者 GMP理论的实践者

搜索
查看: 1145|回复: 1
收起左侧

[行业反思] 杂质响应差、极性大、拆分不开?柱前衍生法了解一下

[复制链接]
药师
发表于 2023-1-3 09:48:41 | 显示全部楼层 |阅读模式

欢迎您注册蒲公英

您需要 登录 才可以下载或查看,没有帐号?立即注册

x
柱前衍生法在医药、食品、环境等领域的应用由来已久。柱前衍生方法多种多样,根据方法开发需求不,大体可以分成四种情况:
①通过衍生反应改变化合物极性,解决弱/无保留、峰拖尾等问题。如带羧基、氨基、羟基等活泼氢基团的一些大极性化合物在反相C18色谱柱上保留通常较弱,且因为常规C18色谱柱填料上存在残余硅羟基会与羧基、氨基等活泼基团相互作用,导致少量样品被延迟洗脱出来,造成峰拖尾问题。通过衍生反应脱去这些基团上的活泼氢、引入新的基团改变化合物极性;
②通过衍生反应接入生色基团或共轭体系提高化合物响应。如甲醛、乙醛、肼、重金属离子等通过衍生反应生成带强紫外吸收或荧光的化合物,提高检测响应;
手性构型翻转。有些化合物由于较难找到合适的手性色谱柱对对映体异构体杂质进行分离,通过衍生反应引入其他手性结构使待测物构型翻转从对映异构体成为非对映异构体,使用普通C18色谱柱就可以实现分离;
使过于活泼的化合物稳定。例如酰氯类化合物的活性就非常高,往往遇水就会反应,且对色谱柱损伤也较大,所以通过衍生使酰氯类化合物转变成相对更稳定、对色谱柱损伤更小的结构。
当然,以上四种需求并非一定是单独存在的,方法开发中往往存在多种需求共存的情况,如抗癫痫药普瑞巴林的对映异构体分析方法,就通过柱前衍生同时解决响应、构型翻转2个问题。笔者结合自身方法开发经验及查询文献整合了以下基团、金属离子的一些案例,分享给各位同行在分析方法开发时做一个参考。
01羧基







羧基可以和酰氯、酸酐、醇发生缩合反应生成酯类化合物,也可以在碱性条件下和卤代烃发生取代反应生成酯类化合物,所以羧基的衍生根据需要有多种选择。
案例
衍生原理及色谱图
色谱条件
1人体尿液中的对硝基苯甲酸
UPLC-MS:
色谱柱:Waters ACQUITY UPLC BEH C18,2.1×50mm,1.7μm;
流速:0.2ml/min;柱温:35℃;
MpA:0.1%甲酸水;MpB:乙腈
梯度洗脱:
时间/min
MpA%
MpB%
0
95
5
2
95
5
4
5
95
6
5
95
7
95
5
10
95
5
质谱:气化温度600℃,m/z=372
2生物检材中的氟乙酸钠

HPLC-紫外:
色谱柱:Hypersil ODS,4.0×250mm,5μm;流速:0.5ml/min;柱温:26℃;检测波长:254nm
乙腈-水=50:50(v/v)等度洗脱

02酰氯







酰氯是一种非常活泼的物质,在药学当中是常见的基因毒性杂质。理论上酰氯和羧基、羟基、羰基、水、氨基等均会反应,衍生反应可选择性非常多。通常以醇类做衍生剂居多,醇可以既作稀释剂又是衍生剂。
案例
衍生原理及色谱图
色谱条件
3三氯乙酰氯的检测
HPLC-紫外:
色谱柱:Alltech Apollo C18,4.6×250mm,5μm;
流速:1.0ml/min;柱温:室温;波长:206nm;
甲醇-水=82:12(v/v)等度洗脱
⁴利伐沙班中基因杂质5-氯噻吩-2-甲酰氯的测定
HPLC-紫外:
色谱柱:Waters Shield RP C18,4.6×250 mm,5 μm;流速:1.0 mL/min,柱温:35 ℃;波长277 nm;
MpA:0.02 M磷酸二氢钾(pH3.0)-乙腈=90:10 (v/v)
MpB:乙腈
梯度洗脱:
文献未提供梯度

03酯类







很多酯类化合物的极性通常都不大、沸点也不高,使用HPLC或者GC开发方法都不难,但笔者看文献的时候发现一个有意思的思路,与常规衍生思路有点差别。下表中的硫酸二甲酯并非直接向二甲酯上接入衍生试剂,而是以氨基夺取酯键上的甲基形成N-甲基苯胺,以测试N-甲基苯胺的量折算到硫酸二甲酯的量。
案例
衍生原理及色谱图
色谱条件
⁵空气中的硫酸二甲酯
GC-FID:
色谱柱:DB-5弹性石英棉毛细管柱,0.25mm×30m,0.25μm
进样口:250℃;流量:5.4ml/min;
柱流量:0.4ml/min;恒流模式;检测器:300℃;氢气:30ml/min;空气:300ml/min;尾吹气:25ml/min
升温程序:

04羟基







羟基理论上与酰卤、酸酐、氨基等均会反应,比如前文提到的酰氯的衍生——醇解,反过来用酰氯衍生醇也是可以的。羟基常用的衍生方式为使羟基甲基化后使用GC检测
案例
衍生原理及色谱图
色谱条件
⁶烟草中西柏三烯二醇检测


GC-MS:
色谱柱:DB-5MS毛细管柱,0.25mm×60m,0.25μm;进样口250℃;载气He;流速1.2ml/min;不分流;
升温程序:
MS:EI源,m/z=169
⁷不同柑橘中的肌醇检测

GC-FID:
色谱柱:HP-1701,0.32mm×30m,0.25μm;
检测器温度:300℃;进样口温度:250℃;N2:0.8ml/min;H2:40ml/min;空气:450ml/min
升温程序:

05氨基







氨基由于极性大、拖尾等问题,很多时候氨基化合物的方法开发费九牛二虎之力筛选色谱柱解决化合物的保留、拖尾问题,不如直接衍生化来的快捷。用异硫氰酸苯酯(PITC)碱催化衍生检测氨基的应用已经非常成熟。
案例
衍生原理及色谱图
色谱条件
⁸甲苯磺酸拉帕替尼的基毒杂质:3-氯-4-(3-氟苯基加氧基)苯胺

HPLLC-荧光:
色谱柱:Kromasil 100-5 C18,4.6×150mm,5μm
流速:1.3ml/min
柱温:40℃
激发波长:290nm
发射波长:503nm
0.05M醋酸钠缓冲液(pH4.5)-乙腈=50:50 v/v
⁹复方氨基酸注射液(18AAA-III)含量测定

PITC衍生

色谱图:无
HPLC-紫外:
色谱柱:C18;柱温:40℃;检测波长:254nm
流速:1ml/min;
MpA:0.1M醋酸钠溶液(pH6.5)-乙腈(93:7)为流动相
MpB:乙腈-水(80:20)为流动相
梯度洗脱:
时间/min
MpA%
MpB%
0
100
0
11
93
7
13
88
12
14
85
15
29
66
35
32
30
70
35
0
100
42
0
100
45
100
0
60
100
0
1⁰稻米氨基酸含量测定


HPLC-紫外:
色谱柱:AdvanceBio AAA,4.6×100mm,2.7μm;
流速:1.0ml/min;柱温:40℃;波长:338nm
MpA:0.01M Na2HPO4+0.01M Na2B4O7+0.5mM NaN3
MpB:乙腈-甲醇-水=45:45:10(v/v/v)
梯度:文章未提供
衍生化试剂:邻苯二甲醛+巯基丙酸
催化剂:0.4mol/L硼酸缓冲盐(pH10.2)
11乳制品中牛磺酸含量


HPLC-荧光:
色谱柱:Agilent ZORBAX Eclipse-AAA,3.0×150mm,3.5μm
流速:0.5ml/min
柱温:35℃
激发波长:338nm
发射波长:425nm
MpA:35mM磷酸盐缓冲液(pH7.8)
MpB:乙腈-甲醇=1:1 v/v
MpA-MpB=85:15 等度洗脱16min

06醛、酮







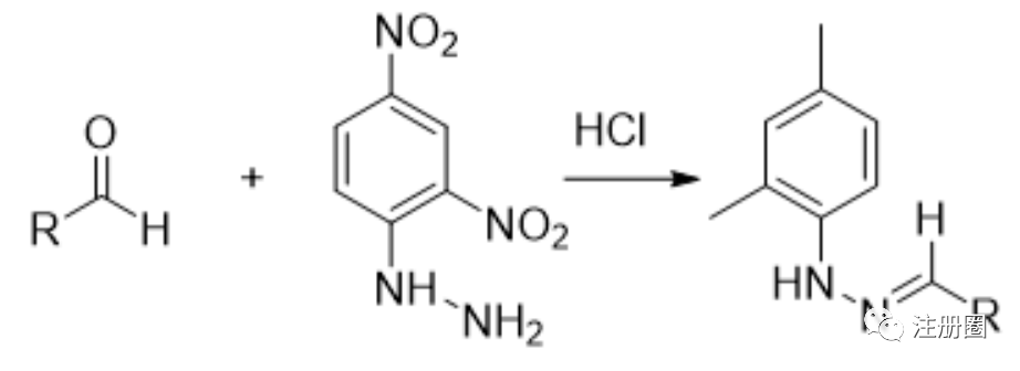
很多醛、酮类化合物可以直接通过GC或HPLC方法检测,醛、酮基团的极性小、保留不存在问题。大多数情况下使用柱前衍生法主要为了解决响应问题。醛、酮类化合物常用的衍生试剂为肼类化合物。
案例
衍生原理及色谱图
色谱条件
12盐酸度洛西汀API中的甲醛含量


HPLC-紫外:
色谱柱:Agilent XDB C18,4.6×250mm,5μm;流速:1.0ml/min;柱温:30℃;波长:360nm
乙腈-水=60:40( v/v )等度洗脱38min
衍生化试剂:2,4-二硝基苯肼 in 乙腈
催化剂:2N 盐酸溶液
反应:室温放置40min
13婴幼儿配方食品中4种醛类化合物(苯甲醛、 2,4-壬二烯醛、2-十一烯醛、1-壬醛)


GC-FID:
色谱柱:HP-5 毛 细 管 色 谱 柱, 30 m ×0.25mm, 2.5μm;进样口温度:250℃;检测器温度280 ℃; 流量:1.0mL/min;分流比为3:1.
升温程序:
1⁴α-二羰基化合物的测定(例如2,3-丁二酮/戊二酮)




HPLC-紫外:
色谱柱:Shim-Pack VP-ODS C18,4.6×250mm,5μm;流速:0.7ml/min;柱温:25℃;波长:254nm;
梯度洗脱:
时间/min
水%
甲醇%
0
40
60
10
0
100
15
40
60
17
40
60

07








肼常备用作醛类化合物的衍生试剂,反之,测定肼时使用醛类作为衍生试剂同样可行。

案例
衍生原理及色谱图
色谱条件
1⁵硫酸阿米卡星及其制剂中基因毒性杂质




HPLC-紫外:
色谱柱:Agilent Zobax Eclispe XDB-C18,2.1mm×150mm,5μm;流速:1.0ml/min;
柱温:25℃;波长:300nm
MpA:0.1%甲酸溶液
MpB:乙腈
梯度洗脱:
时间/min
MpA%
MpB%
0
80
20
2
80
20
8
20
80
17
20
80
18
80
20
20
80
20

08
构型翻转








柱前衍生法的构型翻转主要是通过向手性化合物结构上引入其他的手性构型,使原本互为对映异构体的手性化合物转换成非对映异构体,从而通过普通C18色谱柱就可实现分离检测。
案例
衍生原理及色谱图
色谱条件
1⁶多巴对映异构体拆分


HPLC-紫外:
色谱柱:依利特Hypersil ODS2,4.6×250mm,5μm;
流速:1.0ml/min;柱温:25℃;波长:280nm;
梯度洗脱:
时间/min
0.05%TFA水
乙腈%
0
70
30
30
20
80
1⁷普瑞巴林对映异构体检测

HPLC-紫外:
色谱柱:C18(USP L1),4.6×250mm,5μm
柱温:25℃;流速:2.0ml/min;波长:340nm
三乙胺-水(7.2:1000 v/v,磷酸调pH3.0)-乙腈=68:32 (v/v)等度洗脱
(左图来源文献,乙腈比例45,按USP的比例分离度较大)

09
金属离子








检测重金属离子的手段比较多,AAS、AFS、ICP、ICP-MS等,当下药企盛行使用ICP-MS对金属离子进行研究。但是当硬件条件不允许时,衍生不乏为一种方法开发思路。金属离子的衍生主要为络合作用,衍生试剂种类繁多:主要有杂化偶氮类、羟基喹啉类、二硫代氨基甲酸盐类等。
案例
衍生原理及色谱图
色谱条件
1⁸Hg2+
金属络合
HPLC-紫外:
色谱柱:Thermo Hypersil GOLD C18,4.6×150mm,5μm
流速:1.0ml/min
柱温:33℃
波长:270nm
甲醇-水=60:40 (v/v)等度洗脱
1⁹烟草中Pb、Ni、Hg
金属络合
HPLC-紫外:
色谱柱:Waters Xterra RP C18,3.9×150mm
流速:1.0ml/min;波长:Cd-435nm、Pb-465nm、Hg-450nm
MpA:甲醇(内含0.01M的四氢吡咯-醋酸缓冲盐)
MpB:四氢呋喃(内含0.01M的四氢吡咯-醋酸缓冲盐)
梯度洗脱:
时间/min
MpA%
MpB%
0
100
0
15
80
20

10
结语








柱前衍生法存在操作较为复杂、反应体系杂质多等缺点,但当分析方法开发陷入窘境时,不妨以柱前衍生法打开一个新的开发方向。上述各基团的衍生反应之间都是可以相互之间转化利用的,比如使用苯肼衍生检测甲醛,反之使用苯甲醛衍生检测肼也是可行的;使用酰氯衍生检测醇,反之使用醇衍生检测酰氯也是可行的。化学反应千变万化、包罗万象,以上只是列出一些常见基团或特殊案例,抛砖引玉,旨在为大家分析方法开发打开一个思路。
声明:本文转载开源于公众号【注册圈】,文章版权归 原作者所有,如若了解更多信息可自行前往查看,违规请版主删除。

回复

使用道具 举报

药师
发表于 2023-1-3 17:42:47 | 显示全部楼层
学习了,谢谢提供分享。
回复

使用道具 举报

您需要登录后才可以回帖 登录 | 立即注册

本版积分规则

×发帖声明
1、本站为技术交流论坛,发帖的内容具有互动属性。您在本站发布的内容:
①在无人回复的情况下,可以通过自助删帖功能随时删除(自助删帖功能关闭期间,可以联系管理员微信:8542508 处理。)
②在有人回复和讨论的情况下,主题帖和回复内容已构成一个不可分割的整体,您将不能直接删除该帖。
2、禁止发布任何涉政、涉黄赌毒及其他违反国家相关法律、法规、及本站版规的内容,详情请参阅《蒲公英论坛总版规》。
3、您在本站发表、转载的任何作品仅代表您个人观点,不代表本站观点。不要盗用有版权要求的作品,转贴请注明来源,否则文责自负。
4、请认真阅读上述条款,您发帖即代表接受上述条款。

QQ|手机版|蒲公英|ouryao|蒲公英 ( 京ICP备14042168号-1 )  增值电信业务经营许可证编号:京B2-20243455  互联网药品信息服务资格证书编号:(京)-非经营性-2024-0033

GMT+8, 2025-10-5 06:01

Powered by Discuz! X3.4

Copyright © 2001-2020, Tencent Cloud.

声明:蒲公英网站所涉及的原创文章、文字内容、视频图片及首发资料,版权归作者及蒲公英网站所有,转载要在显著位置标明来源“蒲公英”;禁止任何形式的商业用途。违反上述声明的,本站及作者将追究法律责任。
快速回复 返回顶部 返回列表